3-Story multifamily housing drawing file
Description
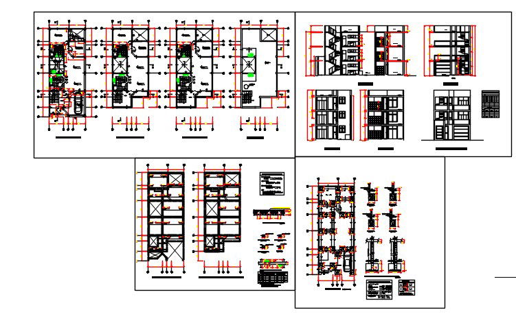
Here the autocad file of 3-story mulifamily housing.with Floor Plan; structures; foundations and lightweight; electrical installations with single-line diagram; sanitation; water and sewer; 2 bedrooms 1 bathroom; kitchen; dining room patio and garden.
Uploaded by:
zalak
prajapati
