Private Office Building AutoCAD DWG Plan with Elevations and Sections
Description
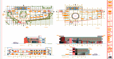
This Private Office Building AutoCAD DWG drawing offers a complete 2D architectural plan designed for modern office infrastructure development. The drawing includes detailed floor layouts, sectional views, and rendered elevations, showcasing the internal organization of workspaces, circulation paths, and structural components. The layout is ideal for understanding the relationship between interior zones, parking, entry access, and service areas. The sectional drawings highlight height levels, beam structures, and material layering, while the elevations display the aesthetic facade and glazing design.
This DWG file serves as a practical resource for architects, civil engineers, interior designers, and builders involved in office or commercial building design. It can be modified in AutoCAD and compatible CAD applications to fit specific project needs and regional codes. The plan promotes efficiency and design accuracy during concept presentation, client approval, and site execution. With precise measurements and coordinated documentation, this office design supports sustainable spatial planning, productivity enhancement, and visual appeal. It’s an ideal reference for those seeking professional-grade working drawings and modern architectural detailing for office construction and renovation projects.

Uploaded by:
Umar
Mehmood

