Clubhouse Project 2D CAD Drawing with Floor Plan Elevation and Section
Description
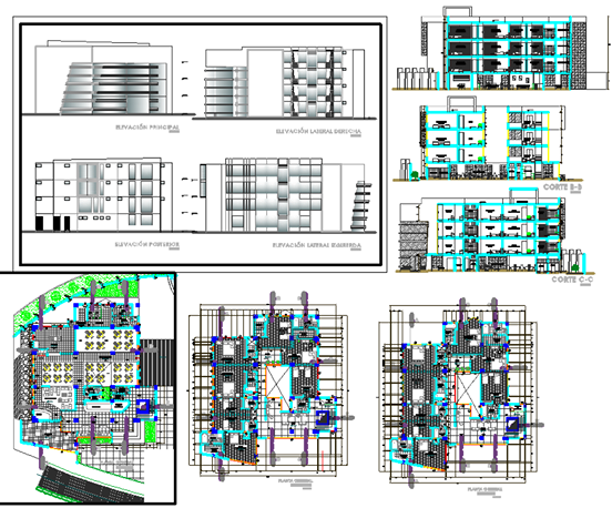
This Clubhouse Project CAD Drawing presents a complete 2D AutoCAD DWG layout that includes detailed floor plans, sectional drawings, and rendered elevation views. The design illustrates multiple levels of the clubhouse, showing clear zoning of spaces such as recreation areas, lounges, service blocks, and landscape sections. The elevation and sectional details highlight the vertical structure, wall thickness, and façade elements, while the plan views display the arrangement of internal facilities and outdoor amenities. Each component is precisely dimensioned, ensuring architectural clarity and presentation quality.
The clubhouse CAD plan is suitable for architects, civil engineers, interior designers, and builders working on recreational or institutional design projects. This DWG file includes ground floor layouts, upper floor designs, and surrounding site planning, offering a comprehensive reference for both concept development and technical detailing. The drawing is editable and compatible with AutoCAD, Revit, and SketchUp, allowing designers to modify and integrate it easily into their projects. With accurate scaling, professional rendering, and functional space design, this plan provides an ideal foundation for modern clubhouse architecture and community space development.

Uploaded by:
Liam
White

