Luxurious 785 m2 House Plan with Spacious Architectural Layouts
Description
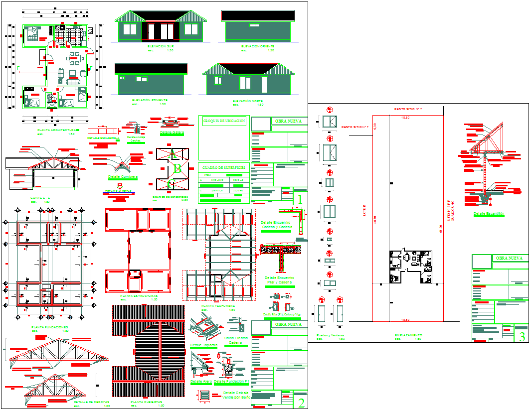
This AutoCAD DWG drawing presents a luxurious 785 m2 housing design featuring a complete set of architectural plans, detailed elevations, structural layouts, and sectional views. The design includes a fully planned residential layout with living areas, bedrooms, kitchen spaces, service rooms, circulation corridors, and façade elevations crafted for premium living. The floor plan shows well-defined interior zoning, furniture placements, door window schedules, and measurement annotations that guide accurate construction. The drawing also contains roof framing plans, truss details, footing layouts, and foundation diagrams essential for precise execution on site.
The file further includes structural reinforcement details, column beam connections, slab designs, roof slopes, and interior finishing components, making it a complete technical package for architects and engineers. Elevations of the front, rear, east, and west sides illustrate wall heights, façade materials, and aesthetic elements. Additional components like the site plan, material legends, surface calculation tables, and construction notes enhance technical clarity. This 785 m2 luxury home design is ideal for residential builders, interior designers, contractors, and CAD professionals seeking a ready-to-use, high-quality project for premium housing development.

Uploaded by:
Liam
White
