Hospital design File DWG
Description
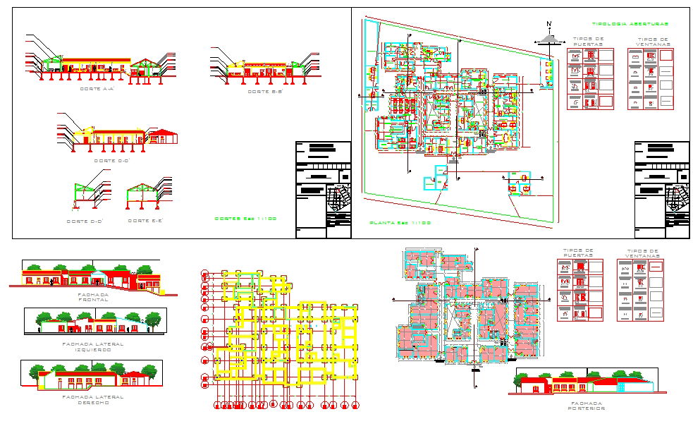
The design of plan and elevation to autocad DWg file. Interior design is "the art or process of designing the interior, often including the exterior, of a room or building.

Uploaded by:
john
kelly

Uploaded by:
kelly