LOGIN
HOME
CATEGORIES
UPLOAD FILE
PRICING
HOUSE PLAN
ABOUT US
CONTACT US
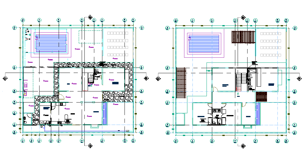
Home layout dwg file
Home
Categories
Architecture
House Plan
Home layout dwg file
Uploaded by:
Umar
Mehmood
View Profile
View Profile
Description
Home layout . the top view plan of floor plan with detailing of washroom , kitchen , bedroom , living room act .layout detail with dimension cad block .
File Type:
DWG
File Size:
3.9 MB
Category::
Architecture
Sub Category::
House Plan
type:
Gold
Uploaded by:
Umar
Mehmood
View Profile
Download
Add to libary
find Latest
Related
Files