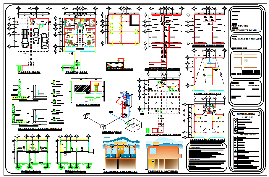
Duplex Apartment Plan
Description
Duplex Apartment Plan Download. a duplex or duplex apartment refers to a maisonette, a single dwelling unit spread over two floors connected by an indoor staircase.[3] Similarly, a triplex apartment refers to an apartment spread out over three floors.

Uploaded by:
Liam
White
