Modern Shopping Centre Complex
Description
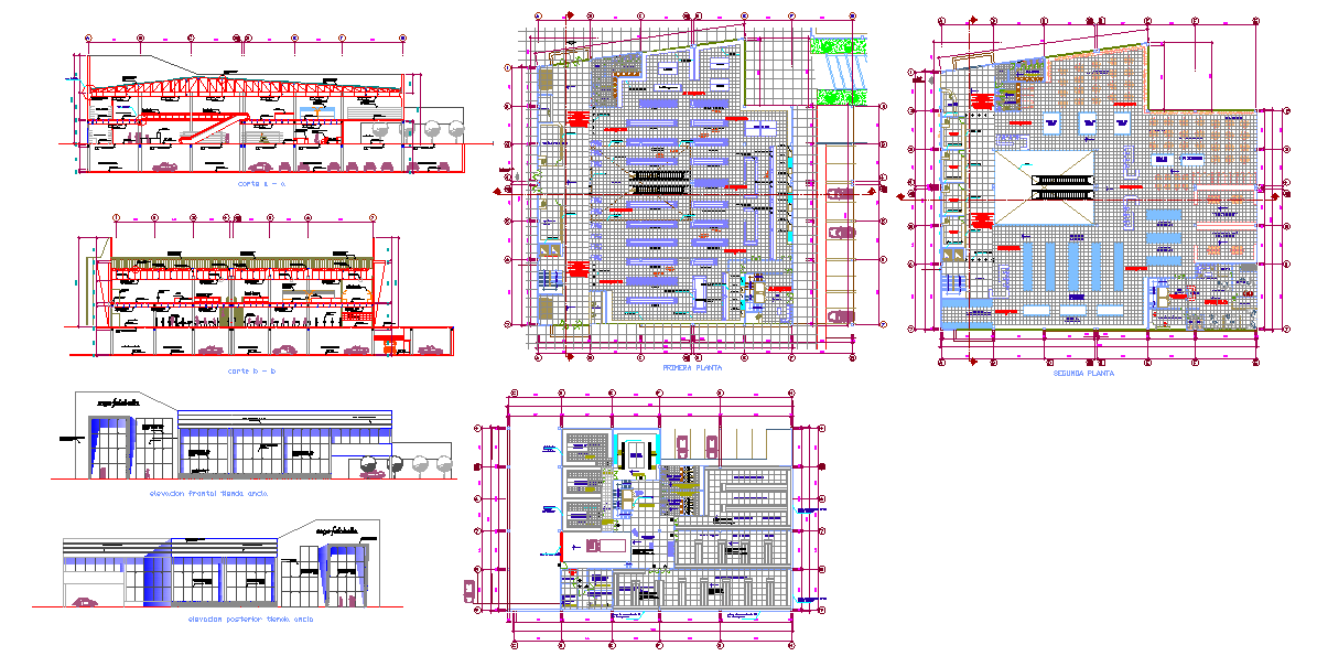
The architecture layout plan of ground floor plan, first floor plan, second floor plan and third floor plan with furniture detailing, section plan and elevation design of Shopping Center plan.Modern Shopping Centre Complex Design File, Modern Shopping Centre Complex Detail file.

Uploaded by:
Fernando
Zapata

