Show Room Design
Description
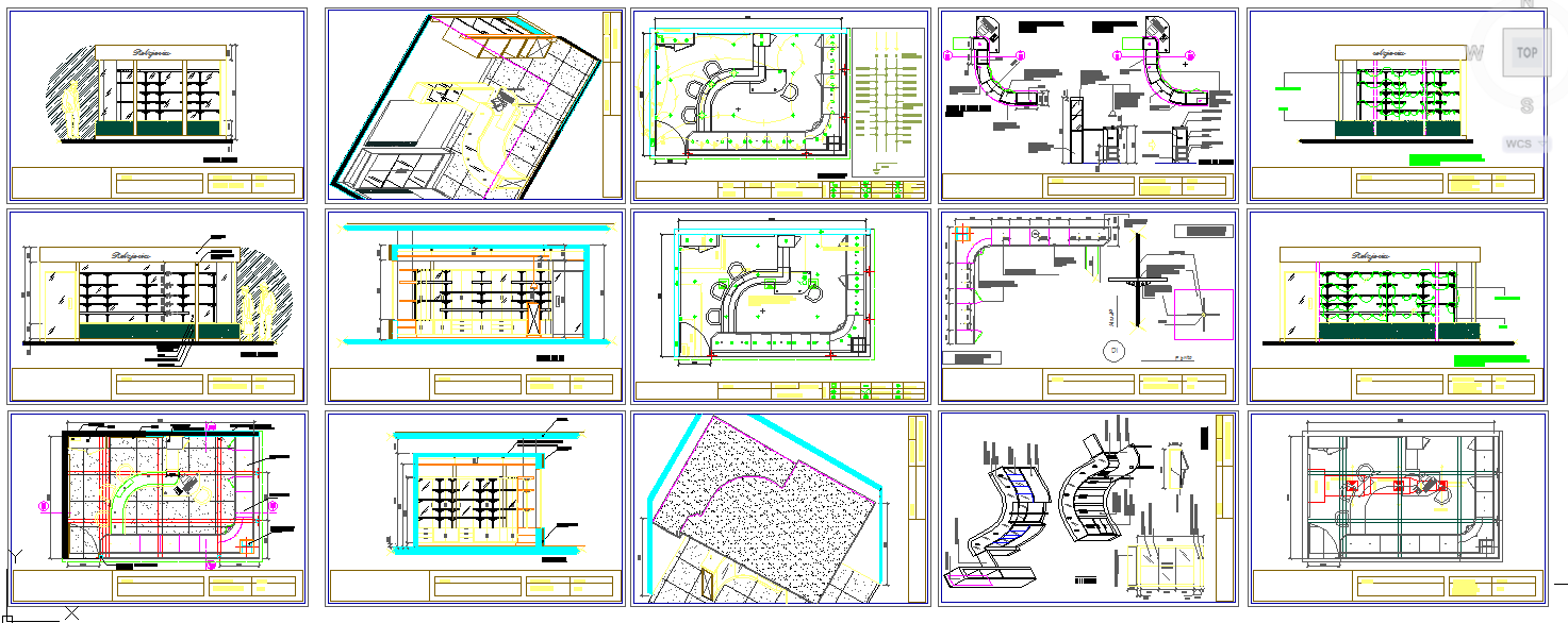
This design Draw in autocad format. Show Room dwg plan. including inside overall site plan, presentation plan, section. Show Room architecture layout provide furniture layout and much more detail in side. Show Room Design Detail, Show Room Design DWG File.

Uploaded by:
Fernando
Zapata

