Projects
College Campus Design complete
MORE DETAILS
Residence
Corporate office design DWG with atrium conference and parking layout
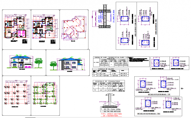
G plus 1 Residential Building 1912sqft DWG Structural Foundation Plan