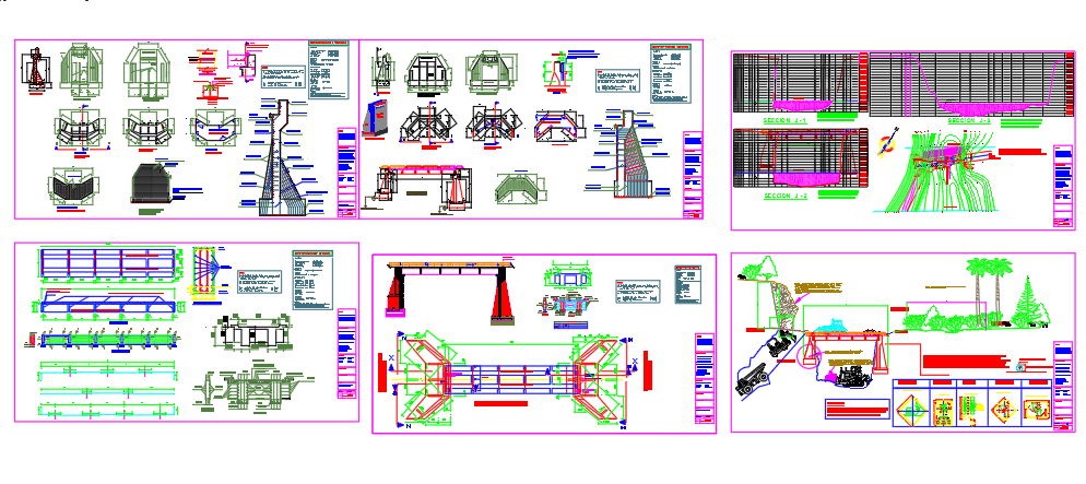
Bridge details

Bridge details
Profile

Uploaded by:

viddhi

chajjed

Description
Here is an autocad dwg file for the Bridge details . All types of details , installation , presentation plan layout drawings with all related dwg details in this autocad file. download
Profile

Uploaded by:

viddhi

chajjed

find Latest

Related Files

WhatsApp Chat