LOGIN
HOME
CATEGORIES
UPLOAD FILE
PRICING
HOUSE PLAN
ABOUT US
CONTACT US
Department of buildings
Home
Categories
Architecture
Corporate Building
Department of buildings
Uploaded by:
View Profile
View Profile
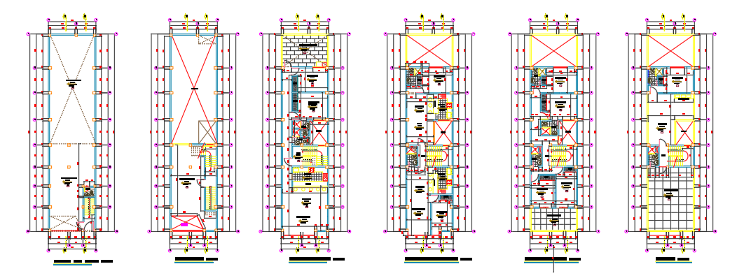
Description
In this autocad dwg file there is details of presentation plan layout , furniture layour plan of differen areas with proper detailing. download file
File Type:
DWG
File Size:
584 KB
Category::
Architecture
Sub Category::
Corporate Building
type:
Gold
Uploaded by:
View Profile
Download
Add to libary
find Latest
Related
Files