LOGIN
HOME
CATEGORIES
UPLOAD FILE
PRICING
HOUSE PLAN
ABOUT US
CONTACT US
Business Center
Home
Categories
Architecture
Corporate Building
Business Center
Uploaded by:
View Profile
View Profile
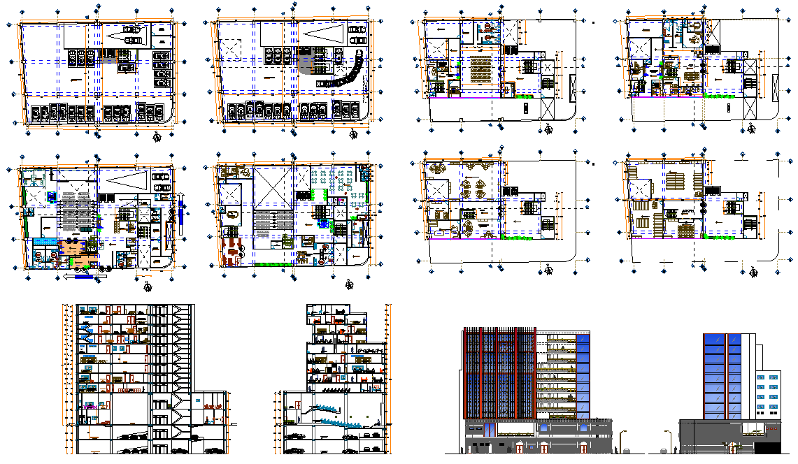
Description
Business Center's architectural layout, sectional plan, structural plan, sectional elevation of individual floor, exterior elevation.
File Type:
DWG
File Size:
6.8 MB
Category::
Architecture
Sub Category::
Corporate Building
type:
Gold
Uploaded by:
View Profile
Download
Add to libary
find Latest
Related
Files