Apartment Elevation Design
Description
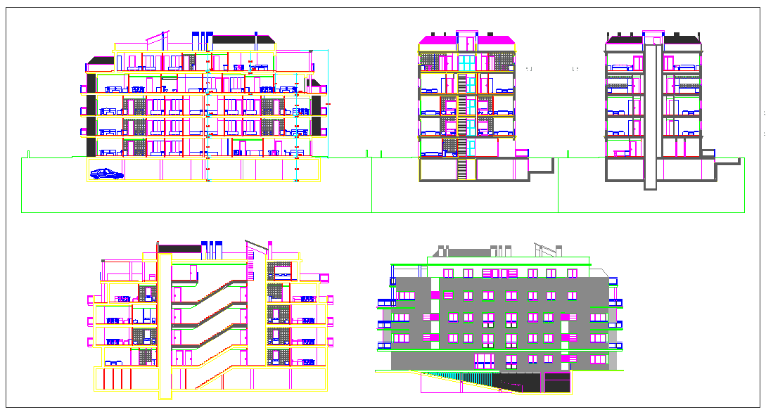
Plans include front, rear and both side elevations. Elevations are a non-perspective view of the home. Apartment Elevation Design Download detail, Apartment Elevation Design DWG File.

Uploaded by:
Jafania
Waxy

Uploaded by:
Waxy