Multi Family House
Description
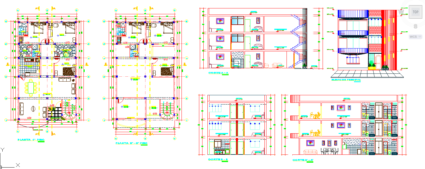
Multi Family House Design, This architecture layout plan of all floor with all dimension, section plan and elevation design of house. Multi Family House Detail, Multi Family House DWG file.

Uploaded by:
Niraj
yadav

Uploaded by:
yadav