LOGIN
HOME
CATEGORIES
UPLOAD FILE
PRICING
HOUSE PLAN
ABOUT US
CONTACT US
Cafeteria Design Project
Home
Categories
Architecture
Hotels and Restaurants
Cafeteria Design Project
Uploaded by:
Harriet
Burrows
View Profile
View Profile
Description
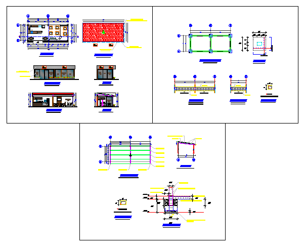
Cafeteria Lay out design, elevation design, section detail, structure detail & Cafeteria lay out include in Kitchen, seating area, etc.
File Type:
DWG
File Size:
2.4 MB
Category::
Architecture
Sub Category::
Hotels and Restaurants
type:
Gold
Uploaded by:
Harriet
Burrows
View Profile
Download
Add to libary
find Latest
Related
Files