Bridge Structure Project

 Bridge Structure Project
Profile

Uploaded by:

Harriet

Burrows

Description
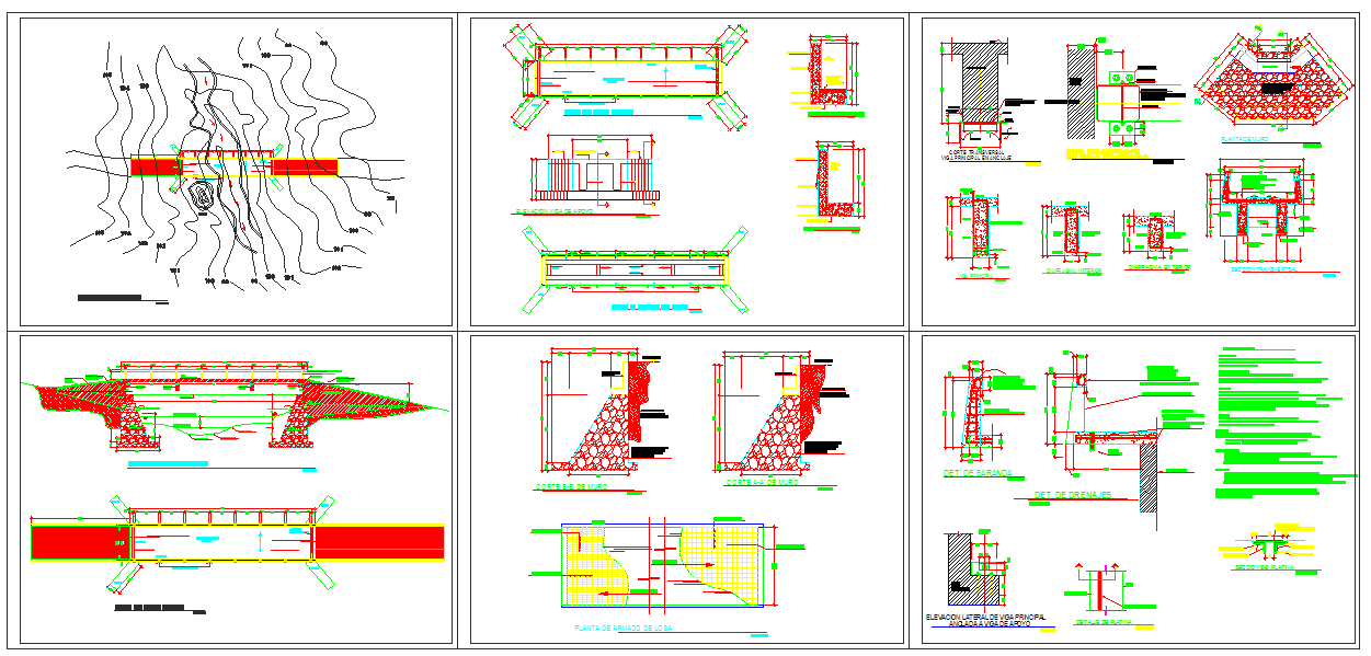
Bridge Structure Project Download file, Bridge Structure Project DWG file. The majority of everyday load-bearing structures are section-active structures like frames, which are primarily composed of one-dimensional structures.
Profile

Uploaded by:

Harriet

Burrows

find Latest

Related Files

WhatsApp Chat