House proposal plan
Description
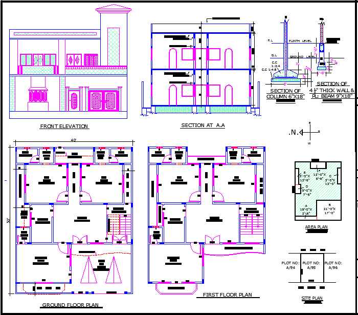
House proposal plan dwg file.
Layout plan of ground floor plan and first floor p[lan, site plan, area plan, construction section plan and front side elevation design of House proposal project.
Uploaded by:
K.H.J
Jani

