Bungalow Elevation Design
Description
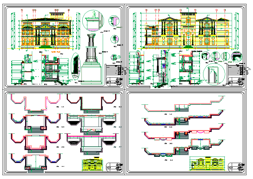
Bungalow Elevation Design Download file, Plans include front, rear and both side elevations. Bungalow Elevation Design Detail, Bungalow Elevation Design DWG file.

Uploaded by:
Harriet
Burrows

Uploaded by:
Burrows